La carga electrónica es un concepto fundamental en la ingeniería eléctrica y electrónica, constituyendo la base de todos los fenómenos eléctricos y electromagnéticos. Por este motivo, entender su comportamiento es esencial para el diseño, análisis y optimización de sistemas eléctricos y electrónicos avanzados.
¿Qué es la carga electrónica y cómo se puede medir? Desde Distron, te lo contamos:

Conceptos fundamentales de la carga electrónica
La carga electrónica es una propiedad intrínseca de las partículas subatómicas que origina las interacciones electromagnéticas responsables de todos los fenómenos eléctricos.
En términos fundamentales, existen dos tipos de carga: la positiva, asociada a los protones, y la negativa, asociada a los electrones. La unidad de medida de la carga eléctrica en el Sistema Internacional es el culombio (C), y se ha determinado que un solo electrón posee una carga elemental de aproximadamente –1.602 × 10⁻¹⁹ C.
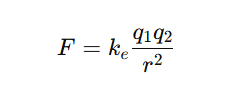
Las cargas eléctricas obedecen la ley de conservación de la carga, que establece que la cantidad total de carga en un sistema aislado permanece constante, y su comportamiento se describe mediante la Ley de Coulomb, la cual define la fuerza de interacción entre dos cargas puntuales en función de su magnitud y de la distancia que las separa.

donde F es la fuerza entre las cargas, q1 y q2 son las magnitudes de las cargas, r es la distancia entre ellas y ke = 8.99×10⁹ N⋅m2/C2 = es la constante de Coulomb.
Comportamiento de una carga electrónica en diferentes materiales
El movimiento de la carga electrónica no solo depende de la magnitud de la carga, sino también de las propiedades intrínsecas del material que la contiene. Así, la manera en que los electrones se desplazan, se distribuyen o se acumulan está directamente influenciada por la estructura atómica, la densidad de portadores de carga y la presencia de impurezas en el material.
Por este motivo, entender este comportamiento es fundamental para el diseño de circuitos, dispositivos semiconductores y sistemas electromagnéticos, ya que determina la eficiencia de conducción, la acumulación de energía y la respuesta frente a campos eléctricos externos.
En términos generales, los materiales se clasifican según su capacidad para permitir o restringir el movimiento de las cargas:
- Conductores: Facilitan el flujo de cargas. Ejemplos: cobre, aluminio.
- Aislantes: Restringen el movimiento de cargas. Ejemplos: vidrio, plástico.
- Semiconductores: Presentan conductividad intermedia y pueden ser modificados mediante dopaje. Ejemplos: silicio, germanio.
Este comportamiento es crucial para aplicaciones avanzadas como circuitos electrónicos, dispositivos semiconductores y sistemas de control electromagnético.
Cómo se mide la carga electrónica
La medición de la carga electrónica es una operación crítica tanto en entornos de laboratorio como en sistemas electrónicos industriales, ya que permite cuantificar y controlar con precisión la cantidad de carga presente en un material o dispositivo.
Este proceso es esencial para el diseño, calibración y prueba de circuitos, dispositivos semiconductores y sistemas de control electrónico, asegurando que los componentes funcionen dentro de los parámetros establecidos. La precisión en la medición de la carga influye directamente en la estabilidad de los sistemas eléctricos, la eficiencia energética y la seguridad operativa.
Entre los métodos más utilizados para llevar a cabo estas mediciones se encuentran técnicas especializadas que permiten evaluar desde cargas estáticas hasta sistemas de carga electrónica regulable y carga electrónica programable, ofreciendo un control detallado sobre el flujo de electrones.
- Medidores de carga estática: Detectan la acumulación de carga en superficies aislantes mediante sensores electrométricos.
- Circuitos de referencia calibrados: Usados para medir cargas en dispositivos electrónicos con precisión.
- Cargas electrónicas regulables y programables: Son instrumentos que permiten aplicar una carga controlada de manera ajustable o automatizada, siendo esenciales en pruebas de tolerancia, simulación de cargas y calibración de equipos.
La carga electrónica regulable permite variar la intensidad de la carga de manera precisa, mientras que la carga electrónica programable integra capacidades de automatización y control remoto para ensayos avanzados.
Aplicaciones de la carga electrónica en ingeniería
El estudio y control de la carga electrónica tiene aplicaciones fundamentales en diversas áreas de la ingeniería. En los circuitos eléctricos y electrónicos, el flujo de cargas permite el funcionamiento de componentes esenciales como resistencias, condensadores y transistores, asegurando la correcta operación de dispositivos y sistemas complejos.
En el ámbito de la electrostática, la carga electrónica se aplica en tecnologías como la impresión láser, la pintura electrostática y los precipitadores electrostáticos, donde la manipulación precisa de cargas mejora la eficiencia y calidad de los procesos.
Asimismo, en el electromagnetismo, el control de la carga es clave para el diseño de motores eléctricos, generadores y transformadores, optimizando su rendimiento y seguridad.
Por último, en los dispositivos semiconductores, la capacidad de manipular cargas con precisión es indispensable para la fabricación de transistores, microchips y sensores, permitiendo el desarrollo de electrónica avanzada y sistemas inteligentes.
En cualquier caso, la implementación de cargas electrónicas regulables y programables permite a ingenieros realizar pruebas precisas, simular condiciones de carga específicas y optimizar el rendimiento de sistemas electrónicos complejos.
¿Necesitas asesoramiento profesional? En Distron estaremos encantados de informarte. ¡Contacta con nosotros!



